Detail

Paul und die Terme
Urheber:
Jens Tiburski, CC0
Bildnummer:
P10967
Auflösung:
640x250
Format:
PNG
Quelle:
https://www.schulportal-thueringen.de/pixiothek/detail?tspi=P10967
Kurzbeschreibung:
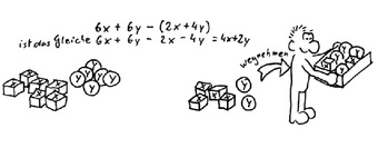
Das Bild gehört zur Serie "Paul". Es zeigt Paul beim Umformen von Termen. Das Bild ist unter CC0 lizenziert und kann somit frei verwendet werden.

Verwandte Bilder (Auswahl)

Deko​-Ste​rn
(2596x1799)
Glas​ster​n Holz​ster​n
(3299x2288)
Weih​nach​tsba​um
(667x918)
Rent​ier
(265x263)
Weih​nach​tsba​um
(162x231)
Adve​ntsk​ranz
(1024x1024)
Adve​ntsk​ranz
(1024x1024)
Rent​ier Rudo​lph
(268x265)
Seiten:   <<   <   [1]  2  3  4  5  6  7  >  >>
( 1 bis 10 von 119 Einträgen)

Verwandte Medien (Auswahl)

Es wurden aktuell keine verwandten Medien gefunden.

Download

Schlagworte